
قانون مساحة الدائرة
كان لاختراع العجلات تأثيرٌ ثوريٌّ في تسريع وتيرة حياتنا، وللوصول لأفضل أداء لهذه العجلات ذات المقدرة على الحركة والتحمل كان لا بد من التوصل لقانونٍ لحساب مساحة الدائرة.
تعريف الدائرة
هي منحنى يتألّف من عددٍ ثابتٍ من النقاط التي تبعد مسافةً ثابتةً عن نقطةٍ معيّنةٍ تدعى مركز الدائرة، هذه المسافة الثّابتة تسمّى نصف القطر؛ ومحيط الدّائرة هو مجموع هذه النقاط، إنّ أطول خطٍّ مستقيمٍ يمرُّ عبر مركز الدائرة هو قطر الدّائرة، وهو ضعف نصف القطر، أمّا القطاع الدائريُّ فهو القسم من الدائرة المحصور بنصفيّ قطرٍ محددًا زاويةً بينهما تدعى زاوية القطاع، ومن الأمثلة الحياتيّة لها الإطارات والحقل الدائريّ والمقلاة وغيرها..
مساحة الدائرة
هي المنطقة التي تشغلها الدائرة في مستوى ثنائيّ الأبعاد، أو المنطقة المغطّاة بدورةٍ كاملةٍ لنصف القطر على مستوى ثنائيّ الأبعاد، وتحسب من القانون:

A: مساحة الدائرة.
π: العدد باي ثابت يساوي تقريبا 3.14.
r: نصف قطر الدائرة.
لمساحة الدّائرة تطبيقاتٌ عمليّةٌ بسيطةٌ سهّلت حياتنا، فعلى سبيل المثال يمكن حساب السيّاج اللازم لتسييج حقلٍ دائريٍّ من خلال حساب مساحة الحقل، أو كميّة القماش اللّازمة لطاولةٍ مستديرةٍ بحساب مساحتها. لاحظ الرياضيّون عبر عملياتهم الحسابيّة ثبات النسبة بين محيط الدّائرة وقطرها، ومن هنا كان الاكتشاف الشهير للعدد π .

C: محيط الدائرة.

يمكن استنتاج قانون
مساحة الدّائرة بطريقتين:
- استنتاج قانون مساحة الدّائرة بطريقة المستطيل:
نقوم بتقسيم الدائّرة لثمانية قطاعاتٍ متساويّةٍ، ثم نرتّب هذه القطاعات بجانب بعضها بشكلٍ متعاكسٍ ومتتاليٍّ كما في الشكل، فتشكّل ما يشبه متوازي الأضلاع، ولكن ليس مستطيلًا، ارتفاعه هو نصف قطر الدائرة، وبتقسيم الدّائرة إلى مزيدٍ من القطاعات تصغر هذه القطاعات أكثر فأكثر، ويصبح الشكل مشابهًا للمستطيل أكثر فأكثر، وباستمرار التقسيم إلى عددٍ لا متناهٍ من القطّاعات يصبح الشكل مستطيلًا في النهاية، ارتفاعه هو نصف القطر، وقاعدته هي نصف محيط الدّائرة، وبالتّالي:.



- استنتاج قانون مساحة الدائرة بطريقة المثلّث:
تعتمد هذه الطريقة على ربط مساحة الدائرة بمساحة المثلث، وذلك عبر تحويل الدائرة إلى مثلثٍ من خلال تقسيم الدائرة ذات نصف القطر r إلى دوائرَ أخرى بنفس المركز وتختلف بنصف القطر، وقطع هذه الدوائر وفق الخط كما في الشكل، وبذلك تكون معنا مثلث قاعدته هي محيط الدّائرة وارتفاعه هو نصف قطر الدائرة r، وبالتّالي بتطبيق قانون مساحة المثلّث يكون:


نبذة عن تاريخ العدد π
هو أكثر الألغاز الرياضيّة غموضًا ورومانسيّةً وإثارةً للجدل عبر التاريخ، من بابل القديمة إلى أوروبا الوسطى إلى عصر الحواسيب الذكيّة، سعى علماء الرياضيات لحساب هذا الرقم، يُعتقَد أنّ البابليين والمصريين هم أوّل من بحث عن هذا الرقم منذ 4000 عامٍ تقريبًا، وأظهرت أوراق البردي المصريّة المؤرّخة حوالي 1650 ق م، من قبل ناسخٍ يدعى أميس Ahmes، عند اقتطاع تسع قطر الدّائرة ورسم مربعٍ على المتبقي يتشكّل ما يعادل مساحة الدائرة..
توصل الإغريق لطريقةٍ تعتمد على رسم مضلّعٍ داخل الدائرة، وإيجاد مساحته، ومضاعفة الجوانب لدرجة يصبح فيها المضلّع دائرة، وقام بريسون Bryson بحساب مساحة المضلّعات التي تحصر الدّائرة، وعلى مدى القرون عاش العلماء جدلًا حول إمكانيّة إيجاد طريقة رسم مربعٍ بمساحة الدائرة.
ثم جاء أرخميدس ليبتكر طريقةً أخرى تعتمد على محيط الدائرة وليس على مساحتها، فبدأ برسم شكلٍ سداسيٍّ داخل الدائرة، وضاعف الجوانب أربع مرّاتٍ، لينتهي بمضلعين من 96 جانبًا، ليصل إلى الاستنتاج:

في الصين بقيت القيمة المستخدمة 3 حتى جاء العالم Liu Hui، واكتشف الطريقة ذاتها بحساب محيط المضلّعات المنتظمة المرسومة داخل الدائرة من 12- 192 جانب، وتوصّل للقيمة 3.14 وهي أقرب قيمة. في القرن الخامس عشر توصّل العلماء تسو تشونغ وابنه تسو كنج للقيمة:
العالم الهندوسي اريابانا توصّل إلى قيمةٍ أكثر دقة من القيمة التي توصّل لها أرخميدس
3.14= 20000/62832، أما عند العرب، توصّل العالم محمد ابن موسى الخوارزميّ لقيمة π=3 1/7 ولكنّ العرب استبدلوها بقيمةٍ أقلّ دقة.
بقيت نسبة محيط الدائرة إلى قطرها دون دلالة رمزية حتى عام 1647م، ليتم حسابها من قبل العالم ويليم اوتريك، وفي عام 1737م استخدم العالم ليونارد ايلر الرمز π ، وبعد جهدٍ مضنٍ توصّل العلماء لإجابةٍ مفادها أن لايمكن تربيع الدائرة.
ومع ظهور الحواسيب في القرن العشرين وحتى يومنا هذا سعى العلماء للتوصّل إلى قيمة الرقم π ، فلم يحدّدوا الرقم السحريّ بدقةٍ..
كيفية حساب مساحة الدائرة وفق المعطيات
- الطريقة الأولى استخدام نصف القطر لحساب مساحة الدائرة:
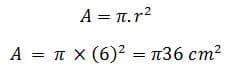
باعتبار أنّ القطر يمثل المسافة بين نقطةٍ من محيط الدائرة ومركزها، وبالتاّلي يمكن حساب المساحة بتطبيق القانون:
² A= π .r
على سبيل المثال، دائرةٌ نصف قطرها 6 سم، تكون مساحتها:


- الطريقة الثانية باستخدام محيط الدائرة:
في حال كانت قيمة محيط الدّائرة معلومةً، من الممكن استخدامها للتوصّل إلى المساحة بدون استخدام القطر، في بعض الأمثلة العمليّة كالمقلاة يمكن قياس محيطها مباشرةً لعدم القدرة على تحديد مركز الدّائرة بشكلٍ دقيقٍ، وبالتالي لا تستطيع تحديد قطر الدائرة.

- الطريقة الثالثة بالاعتماد على القطاع الدائريّ:
قد نُعطى قطاعًا دائريًّا بزاويةٍ معيّنةٍ محددًا بنصفيّ قطر، فيتمّ قياس زاويته بالمنقلة، ومنه يمكن استخدام المعادلة المشتقة للحصول على مساحة الدائرة:

Acir: هي مساحة الدائرة.
Asec: مساحة القطاع الزاوي.
يمكن حساب محيط الدائرة باستخدام أحد القانونين الآتيين:
1-محيط الدائرة = π×قطر الدائرة.
2-محيط الدائرة = 2×π×نصف قطر الدائرة.
من خلال تطبيق قانون محيط الدائرة :
محيط الدائرة = 2×π×نصف قطر الدائرة
يبلغ محيط الدائرة التي قطرها 7 سم هو 44 سم .
يبلغ محيط دائرة قطرها 10 سم ما يقارب 31.416 سم، ويمكنك إيجاد محيط الدائرة بسهولة سواء باستخدام قطرها أو نصف قطرها عن طريق تطبيق القانون التالي:
محيط الدائرة = 2 × نق × π
من خلال تطبيق قانون مساحة الدائرة= (π×مربع طول القطر)/4 ، يبلغ مساحة الدائرة التي قطرها 4 سم هو 12.56سم .
من خلال تطبيق قانون محيط الدائرة = 2 × نق × π يبلغ محيط الدائرة التي قطرها 5 سم هو 15 سم .
من خلال تطبيق مساحة الدائرة=π×مربع نصف القطر، يبلغ مساحة دائرة نصف قطرها 2سم هي 12.56سم.
