
استخدام المصفوفات في حل المعادلات
تلعب المصفوفات دورًا أساسيًّا في علم الرياضيات، إذ أنها تستخدم في العديد من المجالات التطبيقية بغرض تسهيل العمليات الحسابية وتجنب الأخطاء والحصول على النتائج الدقيقة بأقل وقتٍ ممكنٍ، فهي تستخدم أيضًا في الجوانب والتطبيقات الفيزيائية مثل تمثيل الدارات الكهربائية لحساب الثوابت، أو في الكيمياء لموازنة المعادلات الكيميائية، وحتى في الاقتصاد، وسنحدث في هذا المقال عن المصفوفات وأهميتها وعن كيفية استخدام المصفوفات في حل المعادلات الرياضية.
تعريف المصفوفات
هي عبارةٌ عن مجموعةٍ من الأعداد أو الرموز توضع ضمن قوسين كبيرين بشكل مستطيلٍ أو مربعٍ، ويتم ترتيبها في صفوفٍ وأعمدةٍ. تسمى المصفوفة بعدد الصفوف والأعمدة، بحيث إن كانت تحوي المصفوفة على ثلاثة صفوفٍ وثلاثة أعمدةٍ تسمى 3*3 وعندها تكون المصفوفة مربعةً.
أما إذا كانت تحوي على أربعة صفوفٍ وثلاثة أعمدةٍ فهي 4*3 وعندها تكون المصفوفة على شكل مستطيلٍ، وتكمن أهمية المصفوفات في تطبيقاتها المتعددة في الرياضيات، والتي تتركز في حل جملة المعادلات الخطية.
المعادلات الخطية
تستخدم المعادلات الخطية في مجالاتٍ عديدةٍ، وحل تلك المعادلات يعتبر من الأمور الأساسية في إيجاد المتغيرات، حيث أنها تستخدم كنموذجٍ رياضيٍّ لتمثيل العديد من التطبيقات مثل الدوائر الكهربائية وتطبيقات النمذّجة والمحاكاة وغيرها.
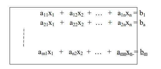
إليكم الصورة العامة لتمثيل جملة معادلات خطية:

يمكن وصف الشكل العام لجملة المعادلات الخطية باستخدام المصفوفات عبر الشكل الآتي:

كيفيّة استخدام المصفوفات في حل المعادلات
- طريقة كرامر:
تعتمد طريقة كرامر في حل المعادلات الخطية على المحدّدات بصورةٍ رئيسيّةٍ، وفيها يكون:

حيث إنّ |A| هو محدّد مصفوفة المعاملات A، و|Ai| هو المحدّد الناتج عن |A| بعد استبدال العمود رقم i فيه بعمود الثوابت b، وإليك المثال التالي:

وبما أنّ|A|غير معدومٍ، فإنّ لجملة المعادلات الخطية حلًا وحيدًا، ويمكن حسابه وفق:
- طريقة الحذف لغاوس
من أجل استخدام المصفوفات في حل المعادلات تُركز هذه الطريقة على جعل متغيرين من عناصر المعادلة الثالثة في المصفوفة تساوي الصفر، وذلك عبر عملياتٍ بين الضرب بين المعادلة الأولى والثانية بعدد معاملات، ومنه عندما نحصل على قيمٍ صفريةٍ في المعادلة الثالثة نستطيع عن طريقها حساب المتغيرات في المعادلة الثانية ومن ثم المعادلة الأولى والحصول على المتغيرات.
وإليكم مثالًا يوضّح هذه الطريقة بشكلٍ مفصلٍ. فلتكن لدينا جملة المعادلات الخطية المعبر عنها بالشكل المصفوفي الآتي:

نقوم بجمع الحدود كلها في طرف واحد، فتصبح المصفوفة بالشكل التالي:

نبدل بين عناصر الصف الأول والثالث (بدون أي تبديلٍ في صف المتغيرات) فنحصل كما هو موضحٌ في الصورة التالية:

نقوم بضرب الصف الأول ب 9 ومن ثم نطرحه من الصف الثالث فيظهر لدينا:

نضرب الصف الأول بـ 4 ومن ثم نطرح الصف الأول والثاني فنحصل بالنتيجة على الصورة التالية:

وأخيرًا، نضرب الصف الثاني ب-6 ونطرح الصف الثاني من الثالث فيكون الناتج:

نعيد الآن المصفوفة إلى ما كانت عليه سابقًا بعد أن قمنا بإجراء التحويلات فتصبح كما يلي:

الآن، وبعد تلك العمليات، نكون قد حصلنا على مجموعةٍ من المعادلات بمتغيرٍ واحدٍ والتي من السهل حلها فنحصل قيم المتغيرات بتعويض القيم في المعادلات.
- طريقة التقسيم L-U
تعتمد هذه الطريقة في استخدام المصفوفات في حل المعادلات على تقسيم المصفوفة الأساسية إلى مصفوفتين مثلثيتين، مصفوفة مثلثية عليا ومصفوفة مثلثية سفلى، بحيث ناتج هاتين المصفوفتين يعطي المصفوفة الأصلية، وابتكرت هذه الطريقة من قبل آلان تورنيغ في عام 1948.
إن طريقة التقسيم L U تعتبر من أفضل الطرق في حل المعادلات الخطية، بالإضافة إلى أننا بواسطتها نستطيع الحصول على معكوس المصفوفة وحتى إيجاد محدد المصفوفة، والجدير بالذكر أن الحل باستخدام المصفوفات المثلثية يسهل إجراء العمليات الحسابية في المصفوفة وبالتالي العثور على الحل.
سنقوم بشرحٍ مبسطٍ عن الطريقة، باعتبار أن A هي مصفوفةٌ مربعةٌ، نقوم بتقسيمها إلى مصفوفتين مربعتين L وU، بحيث تكون A=L*U، وذلك عندما تكون U مصفوفةً مثلثيةً ناتجةً عن تطبيق طريقة غاوس على المصفوفةA، وL هي مصفوفةٌ مثلثيةٌ عناصرها القطرية تساوي 1 (أي مصفوفةٍ قطريةٍ).
ويمكنك معرفة المزيد عن الطريقة عبر الضغط هنا.



